Materi Online


Persentase - SKD/TKD



Berapa persen jumlah siswa laki-laki dan perempuan yang ada di kelas ? Pertanyaan sederhana ini merupakan salah satu penerapan dari materi bab ini yang mungkin pernah kita alami.

Persen atau bisa juga disebut perseratus merupakan nilai suatu perbandingan jika dijadikan dalam skala seratus atau nilai perbandingan (pecahan) jika penyebutnya dijadikan seratus.

Persen ditunjukkan dengan menggunakan simbol %.

Dalam keadaan tertentu, penyajian data dalam bentuk persentase akan lebih dibutuhkan daripada dalam bentuk jumlah, dengan alasan lebih menjelaskan keadaan sebenarnya. Misalnya, kenaikan keuntungan tahun ini adalah 1.000. Jumlah tersebut masih belum menunjukkan keadaan bagus atau tidak. Kenaikan 1.000 dari 10.000 tentunya lebih baik daripada 1.000.000. Sebab itulah persentase akan dibutuhkan dalam membuat analisis atas keuntungan tersebut.

Untuk mencari persentase dapat kita gunakan rumus berikut :

Mari kita kembali ke pertanyaan pada awal bab ini. Berapa persen jumlah siswa laki-laki dan perempuan yang ada di kelas?

Misalnya diketahui :
30 siswa laki-laki
10 siswa perempuan

Dari data tersebut bisa kita ketahui bahwa jumlah seluruh siswa adalah 40 orang. Maka persentasenya dapat dicari dengan mudah.
75% laki-laki (30/40 x 100%)
25% perempuan (10/40 x 100%)

Bagaimana jika yang ditanya adalah jumlah bagian atau totalnya sendiri? Kita hanya perlu mengutak-atik rumus diatas saja dengan mengubah posisi.

 

TIPS :

Sebaiknya jangan menghapal ketiga rumus tersebut. Pahami konsep dari rumus yang pertama saja dengan baik, lalu dengan mengubah posisi bisa kita dapatkan kedua rumus lainnya.

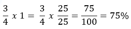
Terkadang data yang disediakan soal dalam bentuk pecahan dan kita diminta untuk menyajikannya dalam bentuk persentase. Untuk itu kita perlu mengubah bilangan pecahan tersebut menjadi bilangan persen terlebih dahulu sebelum diolah. Misalnya, jumlah siswa laki-laki dikelas 3/4 dan perempuan 1/4.

Kita kembali kepada pengertian dari persentase itu sendiri, yaitu menjadikan penyebutnya seratus. Maka kita harus mengubah penyebutnya menjadi seratus dengan mengalikan 4 dengan angka 25.

Mudah kan? Coba cari persentase untuk siswa perempuannya.

Selain dengan cara mengubah penyebutnya menjadi seratus, kita juga bisa menggunakan rumus persentase diatas.

Lebih mudah kan? Kita bebas memilih menggunakan cara yang lebih mudah bagi kita dalam penyelesaian soal. Tentunya soal-soal yang diujiankan akan lebih sulit dan bervariasi, namun pada intinya tetap kembali kepada rumus dasarnya. Oleh karena itu kita dituntut untuk memahami pertanyaannya terlebih dahulu dengan baik. Semakin sering berlatih dalam mengerjakan soal maka kita akan semakin terlatih dengan berbagai bentuk variasinya.