Materi Online


Perbandingan - SKD/TKD



Perbandingan dapat diartikan sebagai suatu upaya untuk membandingkan dua objek atau lebih yang sejenis. Hal yang sering dijadikan sebagai contoh perbandingan adalah tinggi, umur, berat, nilai, dan lainnya.

 

1. Perbandingan dua nilai

Menghitung nilai A jika B diketahui

Menghitung nilai B jika A diketahui

Menghitung nilai A dan B jika jumlah keduanya diketahui

Menghitung nilai A dan B jika selisih keduanya diketahui.

 

2. Perbandingan tiga nilai atau lebih

Menghitung salah satu nilai objek bila jumlah seluruh objek diketahui.

Bentuk lanjutan dari materi perbandingan yang sering dimunculkan adalah perbandingan senilai dan berbalik nilai.

 

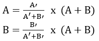
Perbandingan senilai adalah perbandingan dari dua nilai atau lebih dari suatu besaran yang sejenis yang memiliki nilai atau harga yang sama. Singkatnya, perbandingan senilai merupakan perbandingan dimana bila suatu komponen yang dibandingkan bertambah , maka komponen yang lain bertambah pula.

Misalnya, 1 kg jeruk dijual seharga Rp 10.000. Secara logika, semakin banyak kg jeruk yang dibeli, maka jumlah uang yang harus dikeluarkan juga semakin banyak.

Untuk penghitungan hasil perbandingan senilai dapat digunakan rumus berikut:

 

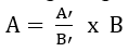
Perbandingan berbalik nilai adalah perbandingan dari dua atau lebih besaran, dimana bila suatu komponen bertambah , maka komponen yang lain berkurang atau menurun nilainya. Sehingga dapat dikatakan bahwa perbandingan ini berkebalikan dengan perbandingan senilai.
Misalnya, untuk membangun rumah Pak Budi, bila jumlah pekerja sebanyak 10 orang, maka pembangunannya dapat diselesaikan selama 15 hari. Semakin banyak jumlah pekerja yang ada, maka akan semakin cepat pekerjaan selesai (jumlah hari semakin berkurang).

Untuk penghitungan hasil perbandingan berbalik nilai dapat digunakan rumus berikut:

 

TIPS :

Cari terlebih dahulu komponen apa yang dibandingkan, lalu kita gunakan logika dengan membayangkannya dalam kehidupan sehari-hari. Hal ini akan memudahkan dalam menentukan apakah hal yang dibandingkan tersebut merupakan perbandingan senilai atau berbalik nilai. Hal ini juga melatih kita tidak terpaku pada rumus.


 
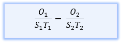
Perbandingan campuran merupakan perbandingan 3 komponen yang didalamnya terdapat perbandingan senilai dan berbalik nilai.

O = objek yang dikerjakan
S = subjek yang mengerjakan
T = waktu pekerjaan

Misalnya, untuk membangun 2 unit rumah oleh 4 pekerja dibutuhkan waktu 20 hari. Berapa banyak pekerja yang dibutuhkan untuk menyelesaikan 5 rumah dalam waktu 40 hari ?

Jadi, jumlah pekerja yang dibutuhkan untuk menyelesaikan 5 rumah dalam waktu 40 hari adalah 5 orang.